A.
Muatan Listrik
Muatan
listrik adalah sifat (muatan dasar) yang dibawa oleh partikel dasar sehingga
menyebabkan partikel dasar tersebut mengalami gaya tarik menarik dan tolak
menolak.
Muatan
listrik dari suatu partikel dasar mempunyai 2 jenis :
1. Elektron yang membawa muatan negatif
2. Proton yang membawa muatan positif
Benda
yang kelebihan sejumlah elektron akan bermuatan negatif dan yang kelebihan
sejumlah proton dikatakan bermuatan positif. Jika jumlah proton dan elektron
sama maka muatannya netral.
Sifat-sifat dari Muatan Listrik :
1. Jika muatan sejenis akan tolak-menolak dan muatan yang tidak sejenis akan tarik menarik.
2. Muatan listrik
adalah besaran pokok fisika yang diukur dalam satuan coulomb disimbolkan dengan
(C). Satu coulomb sama dengan 6,24 x 1018 e (e = muatan elektron).
Sehingga mautan yang dikandung oleh sebuah proton adalah 1,602 x 10-19
coulomb. Elektron mempunyai muatan yang sama dengan proton tapi berbeda jenis
(-)1,602 x 10-19 coulomb.
3. Gaya yang
ditimbulkan oleh dua muatan itu punya karakter yang sama seperti gaya gravitasi
yang ditumbulkan oleh dua buah benda dengan massa tertentu. Gaya antar muatan
ini juga bersifat konservatif dan terpusat.
B.
Hukum Coloumb
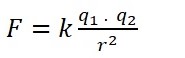
Gaya
tarik-menarik atau tolak-menolak antara dua muatan bergantung pada besarnya muatan-muatan serta berbanding terbalik dengan kuadrat jarak kedua muatan.
Secara
matematis:
F =
gaya tarik menarik/tolak menolak (newton)
q = muatan listrik (coulomb)
r = jarak antara kedua muatan
k = konstan =
E0 = permitivitas
listrik dalam ruang hampa/udara = 8,85 x 10-12 C2 /Nm2
Jika
medium muatan bukan pada medium vakum atau udara maka besar gaya antara muatan
q1 dan q2 akan lebih kecil.


No comments:
Post a Comment